This article is produced and financed by the Institute of Marine Research - read more
African fish are rich in many important nutrients
Sardines, anchovies, horse mackerel and axillary seabream are popular along the African coast. A new study shows that these species contain lots of important minerals and vitamins, particularly if the fish are eaten whole.
“All of these species contained important vitamins, minerals and fatty acids – both the small fish that are eaten whole and the bigger ones where only the fillet is eaten,” says researcher Inger Aakre.
The samples were taken along the northwest African coast by the research vessel Dr. Fridtjof Nansen during a scientific expedition in May 2017. Sardines, anchovies, horse mackerel and axillary seabream are all popular with local people, as well as being readily available.
However, up until now food composition data on local fish have been scarce.
“In general, we know little about the nutrients in food across the whole African continent. There are food composition data, equivalent to the Food Composition Table here in Norway, but over 90 percent of the values listed in them have been borrowed from other countries such as the United States,” says Aakre.
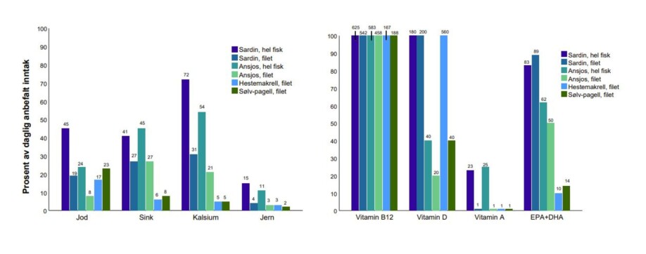
Whole sardines are most nutritious
In the analyses, sardines stood out as the most nutritious fish, particularly if eaten whole.
100 grams of whole sardine would give 45 percent of the recommended daily intake of iodine, as well as 41 percent for zinc, 72 percent for calcium and 15 percent for iron. The equivalent figures were 19 percent, 27 percent, 31 percent and 4 percent when just the fillet was analysed.
“All of the species we looked at are good sources of the important vitamin B12, and sardines and horse mackerel are also excellent sources of vitamin D,” says Aakre.
 
            Fish eyes are rich in vitamin A
Sardines and anchovies are both often prepared and eaten whole in many African countries. And it was only the whole sardines and anchovies that contained lots of vitamin A.
In fact, whole sardines contain 20 times as much vitamin A as the fillets of the four other species we analyzed.
“That is probably because vitamin A is found in the eye and the liver. When the fish are eaten whole, including bones, head and guts, they can also be more nutritious,” says Aakre.
Whole sardines and anchovies also had three times as much iron and calcium.
“Vitamin A deficiency and iron deficiency are both widespread in low-income countries, and they are two of the most common forms of malnutrition in the world,” says Aakre.
 
            Helped by the local population
The May 2017 expedition was the first one in the Nansen programme that involved catching local fish and analysing its nutritional composition.
“This was right at the start of the programme, and we didn’t know what we would find, or what would be the most common species in these areas, in spite of the planning we had done in advance,” explains Annbjørg Bøkevoll.
She is in charge of the nutritional laboratory analysis, and together with her colleague Anette Kausland she was responsible for taking the fish samples and for preparing them on board. The samples were then sent to the Institute of Marine Research for further analysis of nutritional composition.
The expedition also included local researchers and students, who were trained to sort, weigh, measure and identify the species of the fish.
“We caught huge amounts of fish, and we were able to ask the local scientists which species it was custom to eat, and of course how they were prepared. That was really helpful to know,” says Bøkevoll.
And with the help of local people, they quickly developed routines and procedures for catching and preparing the fish, which was useful for subsequent expeditions.
 
            Can help to meet Sustainable Development Goal
Currently around 800 million people in the world are undernourished, and around 2 billion people have a diet that lacks certain micronutrients, such as iodine, vitamin A, zinc and iron.
This shortage of important vitamins and minerals is known as hidden hunger. It isn’t always easy to detect, but hidden hunger can cause long-term, irreversible health damage.
“That’s why this study may be of importance to many low- and middle-income countries, where a large number of people suffer from malnutrition. It is also important if we want to meet the UN Sustainable Development Goal of ending hunger,” says Aakre.
References:
Inger Aakre et.al.: Variation in Nutrient Composition of Seafood from North West Africa: Implications for Food and Nutrition Security. Foods, 2020.
Amalie Moxness Reksten et.al.: Sampling protocol for the determination of nutrients and contaminants in fish and other seafood–The EAF-Nansen Programme. MethodsX, 2020.
———
Read the Norwegian version of this article at forskning.no
 
                     
                     
                     
                     
                     
                     
                     
         
         
         
         
         
         
         
         
         
         
         
         
         
         
         
         
         
         
         
         
         
         
         
         
         
         
        